焦距光圈

光圈的运用 镜头焦距3,206阅读模式

对于焦距光圈的问题,许多人认为焦距还会决定照片中各个物体的远近关系,但严格地说,远近关系只会随着摄影者相对于拍摄对象的距离而发生改变,我们都知道影响景深的几个要素:光圈、焦距、主体和背景的距离,以及主体和相机的距离。

焦距光圈——焦距文章源自:https://www.tuzier.com/兔子摄影网-https://www.tuzier.com/5338.html

照相的过程可以简化为凸透镜成像的过程,镜头的焦距决定了当你拍摄一件物品时,到底它会在你的相片中放到多大。焦距愈长的镜头,拍摄出来的照片带有较大压迫感,景深也愈浅,反而然之。文章源自:https://www.tuzier.com/兔子摄影网-https://www.tuzier.com/5338.html

焦距光圈文章源自:https://www.tuzier.com/兔子摄影网-https://www.tuzier.com/5338.html

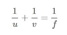
左边的人可以视为我们想要拍摄的物体,右边则是过度简化的相机模型——把镜头简化为一块凸透镜,而最右边的竖线则是相机底片的位置。如果想要清晰的照片,成像的位置要在底片附近。 焦距与物距,相距的关系可以由以下公式确定:文章源自:https://www.tuzier.com/兔子摄影网-https://www.tuzier.com/5338.html

焦距光圈文章源自:https://www.tuzier.com/兔子摄影网-https://www.tuzier.com/5338.html

u为物距(要拍的物体到镜头的距离),v 为相距(镜头到在相机中成的像的距离),而 f 为凸透镜焦距(如果完全不记得自己学过这么个玩意儿也没有关系,我也不记得,记住就好, 之后关系推导会用到)。文章源自:https://www.tuzier.com/兔子摄影网-https://www.tuzier.com/5338.html

焦距为凸透镜本身的一种属性, 不会改变, 但是由于相机镜头是由多片凸透镜和凹透镜组成, 我们可以通过改变某些镜片的位置来改变整个相机镜头的焦距。 这就是变焦镜头变焦(zoom)的过程。文章源自:https://www.tuzier.com/兔子摄影网-https://www.tuzier.com/5338.html

焦距光圈——光圈文章源自:https://www.tuzier.com/兔子摄影网-https://www.tuzier.com/5338.html

焦距光圈文章源自:https://www.tuzier.com/兔子摄影网-https://www.tuzier.com/5338.html

光圈则通过改变光线进入相机内部时通过的孔径来调整进入相机镜头的光线强度。光圈越小, 拍出的照片越暗这一点很容易理解——半掩的盒子总会比敞开的盒子暗些。 但神奇的是, 光圈改变的同时也会影响景深。文章源自:https://www.tuzier.com/兔子摄影网-https://www.tuzier.com/5338.html

 
  • 本站文章来自网友投稿、本站原创以及互联网统一发布,部分内容、文字的真实性、完整性、及时性本站不作任何保证或承诺,请读者仅作参考。转载请务必保留本文链接:https://www.tuzier.com/5338.html